河北机关事业单位最新招聘来啦!(11)
作者:神仙道公益服 来源:Sfxdz.cn 浏览: 【大 中 小】 发布时间:2020-11-05
特别提醒:所有应聘人员,在招聘期间随时关注市就业服务局网站、下花园区政府网站,以免错过招聘相关通知,造成不必要的损失。同时,本次考试不指定考试辅导用书,不举办也不委托任何机构或个人举办考试辅导培训班。目前社会上出现的假借招聘考试命题组、专门培训机构等名义举办的辅导班、辅导网站或发行的出版物、上网卡等均与本次招聘无关。敬请广大应聘者提高警惕,切勿上当受骗。
另:在招聘期间,应聘人员联系方式发生变化的要及时通知招聘主管部门,否则责任自负。
咨询电话:0313-2051684
详情登录
?code=694688371/2018-00582&name=%E5%85%AC%E5%91%8A%E5%85%AC%E7%A4%BA
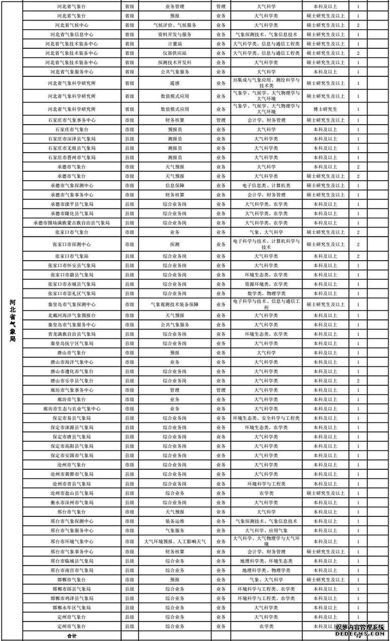
中国气象局2019年公开招聘公告
招聘对象:2019年全日制高校毕业生
招聘单位:中国气象局直属单位和全国31个省、自治区、直辖市气象局。
招聘人数:全国气象部门计划总需求约2000人,各单位具体需求信息见附件。
申请渠道:
1.气象人才招聘网( zp.cmatec.cn)
2.各省(区、市)气象局、直属单位官网
3.各用人单位公布的其他简历接收渠道
备注:
1.招聘职位详细信息请咨询各用人单位
2.气象人才网技术支持电话:010-68408412


资料图
详情登录
?id=17534
