河北机关事业单位最新招聘来啦!(7)
作者:神仙道公益服 来源:Sfxdz.cn 浏览: 【大 中 小】 发布时间:2020-11-05
(2)初中教师岗位:不限户籍,统招全日制普通高校本科及以上学历的毕业生,取得初级中学及以上教师资格证,教师资格证的任教学科与报考岗位学科一致。教师资格证任教学科是初中教育的可以报考初中阶段所有学科。
(3)小学教师岗位:不限户籍,统招全日制普通高校专科及以上学历的毕业生,取得小学及以上教师资格证,教师资格证的任教学科与报考岗位学科一致。教师资格证任教学科是小学教育、初中教育的可以报考小学阶段所有学科。
(4)定向招聘岗位:不限户籍,该岗位定向招聘服务期满且考核合格的服务基层四项目人员,且考生为统招全日制普通高校专科及以上学历的毕业生,取得小学及以上教师资格证,教师资格证的任教学科与报考岗位学科一致(教师资格证任教学科是小学教育、初中教育的可以报考定向招聘岗位的学科)。
定向招聘岗位要求报考者为“服务基层四项目人员”。“服务基层四项目人员”是指:2018年度当年服务期满的“选聘高校毕业生到村任职工作(含2015年及以前选聘的任职3年以上、考核称职以上的在岗大学生村官)”“农村义务教育阶段学校教师特设岗位计划”“三支一扶计划”“大学生志愿服务西部计划”人员,即:四项目人员为2015年度招聘的服务期3年的、2016年度招聘的服务期2年的、2017年度招聘的服务期1年的人员。“服务基层四项目人员”名单以省级主管部门提供的名单为准。
(二)有下列情形之一的人员不得报名应聘
1、现役军人;
2、未毕业的全日制普通高等学校在读学生不得以原取得学历报考;
3、试用期内事业单位工作人员和未满最低服务年限的事业单位工作人员;
4、试用期内的公务员和未满最低服务年限的公务员;
5、未经现任职单位及其主管部门同意报考的已就业人员。
6、曾因犯罪受过刑事处罚的人员;
7、曾被开除公职的人员;
8、失信被执行人;
9、法律、法规规定不得招聘为事业单位工作人员的其他情形人员。
(三)招聘岗位相关说明
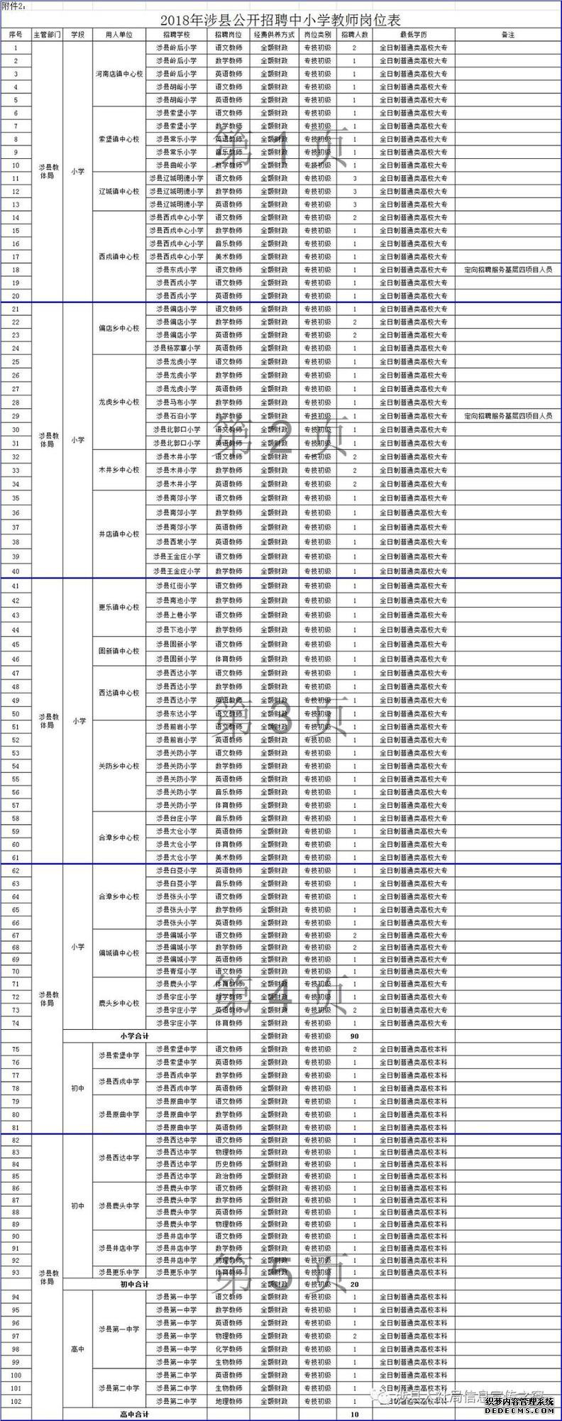
1、具体招聘岗位详见《2018年涉县公开招聘中小学教师岗位汇总表》《2018年涉县公开招聘中小学教师岗位表》。


资料图
2、涉县在编教师不在中小学教师岗位招聘范围。
3、依据冀人社规〔2016〕1号等相关文件精神,要求新聘用到涉县事业单位工作人员在相应行业或系统内最低服务年限为5年。
(四)回避规定
按照《河北省事业单位公开招聘工作人员暂行办法》第四十一条规定,事业单位公开招聘工作人员实行回避制度。凡与聘用单位负责人员有夫妻关系、直系血亲关系、三代以内旁系血亲或者近姻关系的应聘人员,不得应聘该单位负责人员的秘书或者人事、财务、纪律检查岗位,以及有直接上下级领导关系的岗位。聘用单位负责人员和招聘工作人员在办理人员聘用事项时,涉及与本人有上述亲属关系或者其他可能影响招聘公正的,也应当回避。
四、招聘程序与办法
(一)发布公告
2018年11月12日至11月21日,在涉县人民政府信息公开平台( sx.hd.gov.cn/)公开发布。
(二)报名及资格审查
1、报名方式:实行现场报名,每名报考人员只能报考一个岗位,须考生本人到现场报名。
2、报名时间:2018年11月17日至11月22日下午5:00,每日报名时间为:上午8:30-11:30,下午2:00-5:00。
3、报名地点:涉县行政服务中心二楼人社局窗口。
4、提交材料: 报名须携带以下原件及复印件一份:
(1)居民身份证;
(2)《报名资格审查表》《报名登记表》《笔试准考证》(从涉县人民政府信息公开平台( sx.hd.gov.cn/)下载并按要求填写本人信息);
(3)符合岗位要求的毕业证及学信网下载打印的教育部学历证书电子注册备案表;
(4)未就业人员提供报到证(已在涉县人社局存放的除外);
(5)已就业人员提供单位同意报考函;
(6)符合岗位要求的教师资格证及中国教师资格网下载打印的证书验证;
(7)报考定向招聘“服务基层四项目人员”岗位的提供服务证书。
(8)近期同底一寸免冠蓝底照片6张;
(9)符合岗位要求的其他相关材料。
5、报名费用:初审合格后,须交纳报名考务费100元。
6、资格审查:依据招聘岗位设置的条件进行资格审查,通过资格审查的人员确定为进入笔试人员。2018年12月4日至12月5日通过资格审查的人员携带身份证到涉县行政服务中心二楼人社局窗口领取《笔试准考证》。
7、笔试开考比例:岗位报考人数与岗位招聘人数的比例,小学岗位不低于3:1、初中高中岗位不低于2:1,报名人数达不到开考比例的,按比例减少该岗位招聘人数,直至取消该岗位招聘计划。取消报考岗位的已缴费考生,可改报其他符合条件的岗位或办理退费手续。岗位报名、核减、取消等情况在涉县人民政府信息公开平台( sx.hd.gov.cn/)公布。
(三)笔试
